Product Summary
The XPC823EZT75B2 is an Intergrated Processor. It contains circuitry protecting against damage from high-static voltage or electrical fields. However, the XPC823EZT75B2 is advised that precautions be taken to avoid application of any voltages higher than the maximum-rated voltages to this high-impedance circuit. Reliability of operation is enhanced if unused inputs are tied to an appropriate logic voltage level (either GND or VCC).
Parametrics
XPC823EZT75B2 absolute maximum ratings: (1)Supply Voltage VDDH: -0.3 to 4.0 V, VDD: -0.3 to 4.0 V, KAPWR: -0.3 to 4.0 V, VDDSYN: -0.3 to 4.0 V; (2)Input Voltage (JTAG and GPIO) VIN: -0.3 to 5.8 V; (3)Input Voltage (All other pins) VIN: -0.3 to 3.3 V; (4)Operating Temperature TA: 0 to 70 ℃ or -40 to 85℃; (5)Storage Temperature Range TSTG: -55 to +150 ℃.
Features
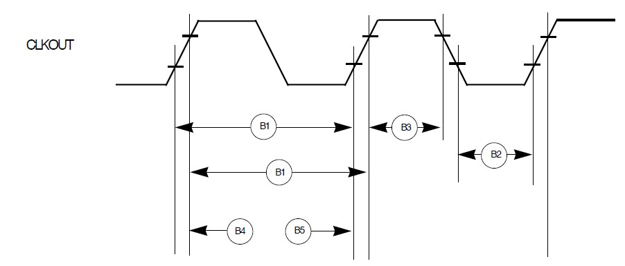
XPC823EZT75B2 electrical characteristics: (1)Input High Voltage (for JTAG and GPIO) VIH: 2.0 to 5.5 V; (2)Input High Voltage (all other pins) VIH: 2.0 to 3.6 V; (3)Input Low Voltage VIL: GND to 0.8 V; (4)EXTAL and EXTCLK Input High Voltage VIHC: 0.7*(VCC) to VCC +0.3 V; (5)Input Leakage Current, VIN= 5.5 V IIN: ±10μA; (6)Hi-z (Off State) Leakage Current, VIN= 3.5V IOZ: ±10μA; (7)Signal Low Input Current, VIL= 0.8 V IL: ±10μA; (8)Signal High Input Current, VIH= 2.0 V IH: ±10μA.
Diagrams

![]() |
![]() XPC823CVR66B2T |
![]() |
![]() IC MPU POWERQUICC 66MHZ 256-PBGA |
![]() Data Sheet |
![]() Negotiable |
|
||||||
![]() |
![]() XPC823CZT66B2T |
![]() |
![]() IC MPU POWERQUICC 66MHZ 256-PBGA |
![]() Data Sheet |
![]() Negotiable |
|
||||||
![]() |
![]() XPC823ECVR66B2 |
![]() Freescale Semiconductor |
![]() Microprocessors (MPU) 823E PB-FREE |
![]() Data Sheet |
![]() Negotiable |
|
||||||
![]() |
![]() XPC823EVR66B2 |
![]() Freescale Semiconductor |
![]() Microprocessors (MPU) PB-FREE 823E 66MHZ |
![]() Data Sheet |
![]() Negotiable |
|
||||||
![]() |
![]() XPC823EVR75B2 |
![]() Freescale Semiconductor |
![]() Microprocessors (MPU) PB-FREE 823E 75MHZ |
![]() Data Sheet |
![]() Negotiable |
|
||||||
![]() |
![]() XPC823VR66B2T |
![]() |
![]() IC MPU POWERQUICC 66MHZ 256-PBGA |
![]() Data Sheet |
![]()
|
|
||||||
(China (Mainland))









